ACEpath: Smart AP Review
Stop losing points to "stupid mistakes" on FRQs and math problems. Our in-depth explanations identify EXACTLY why your logic failed.
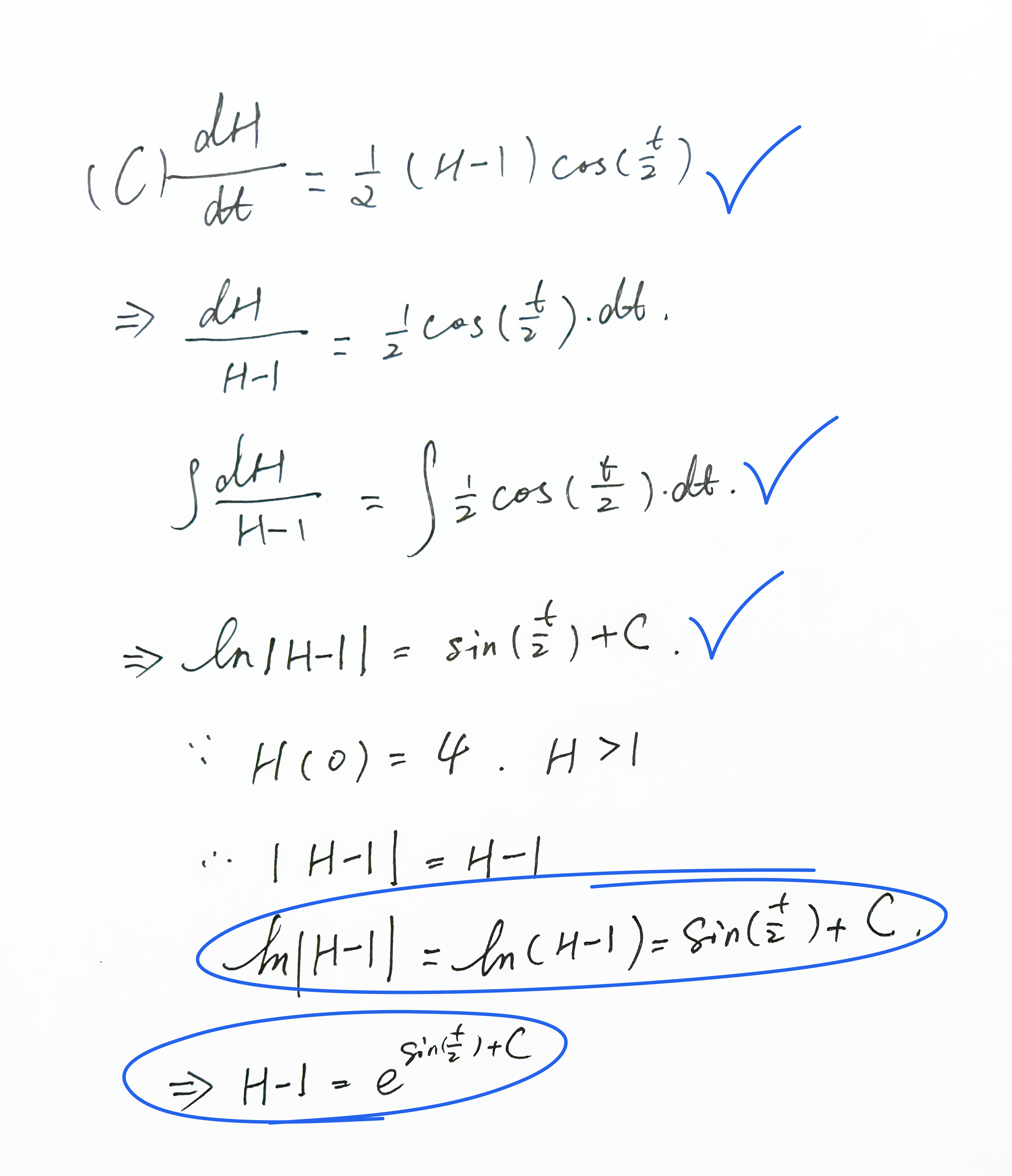
Atomic FRQ Grading
FRQ Precision Grading & Diagnostic for AP Exams


Chooseyour AP subject
Start from the subject page that matches your 2026 AP exam.
SmartPrep System
Built around the exact mistakes that cost students points on exam day
FRQ Confusion Killer
We don't just say "B is correct". We explain exactly why your reasoning for A broke down — so you fix the concept, not just the answer.
Exam Pattern Upgrade
Go from memorizing facts to thinking like an AP scorer. We map your mental models directly to the patterns examiners reward.
Score Action Plan
Every drill is matched to your error type. Calculation mistakes get arithmetic practice; logic gaps get conceptual mapping exercises.

